| Beschreibung |
Die MDPS (motorbetriebene Servolenkung) arbeitet mit einem Elektromotor, um den zum Lenken notwendigen Kraftaufwand zu verringern; das Lenksystem funktioniert unabhängig vom Betrieb des Motors.
Das MDPS-Steuermodul regelt den Motorbetrieb entsprechend der Daten, die von den einzelnen Sensoren über CAN (Controller Area Network) empfangen werden.
Das führt zu einer präziseren und zeitgenauen Steuerung der Lenkunterstützung als bei motorbetriebenen Hydrauliksystemen. Die Bauteile (Lenkwinkelsensor, Drehmomentsensor, Ausfallsicherungsrelais usw.) des MDPS-Systems befinden sich in der Lenksäule. MDPS-Einheit, Lenksäule und MDPS-Einheit dürfen für die Überprüfung nicht zerlegt werden. Sie müssen bei Bedarf ersetzt werden.
| BAUTEILE-ÜBERSICHT |

| 1. Lenksäule
2. Gelenkeinheit |
3 . MDPS-Motor
4 . MDPS ECU |
| Schematische Darstellungen |

| KABELSTECKER |

|
Typ |
STIFT-Nr. |
Beschreibung |
|
BATTERIE |
1 |
Batterie + |
|
2 |
Batterie + |
|
|
VSS |
1 |
ign |
|
2 |
- |
|
|
3 |
- |
|
|
4 |
- |
|
|
5 |
- |
|
|
6 |
- |
|
|
7 |
High_CAN |
|
|
8 |
Low_CAN |
| A/S-Reparaturverfahren |
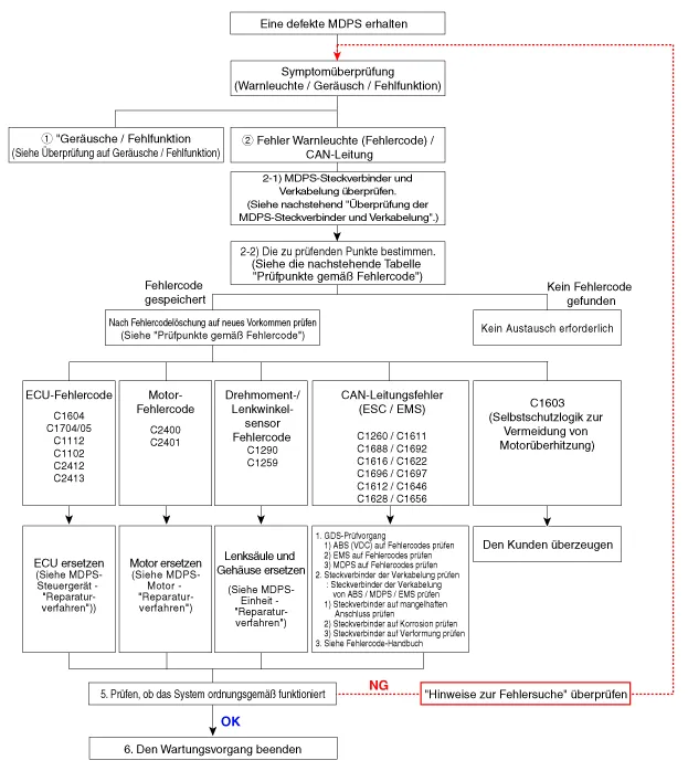
A/S-Arbeitsablauf für das MDPS-System

| ① Überprüfung von Steckverbindern und Verkabelung |
| 1. |
Überprüfung von Steckverbindern und Verkabelung. Die einzelnen Steckverbinder und Kabel auf Beschädigung, Verformung und unsachgemäßen Anschluss prüfen.
|
| ② Prüfpunkte gemäß Fehlercode |
|
Pos. |
Fehlercode |
Beschreibung |
PRÜFUNG |
Wartungsmaßnahme |
|
CAN-Leitung |
C1611 |
CAN-Time-out EMS |
1. GDS prüfen 2. Stecker auf festen Sitz prüfen. 3. ECU-CAN-Steckverbinder überprüfen 4. Massestatus des MDPS-Fahrzeugs überprüfen |
Überprüfung der EMS-CAN-Leitung |
|
C1616 |
CAN Bus Aus |
Fahrwerk-CAN-Leitung prüfen |
||
|
C1622 |
Fahrzeuggeschwindigkeits-Signalfehler |
Überprüfung des EMS (Motor-ECU) |
||
|
DREHMOMENTSENSOR |
C1290 |
Drehmomentsensor, Signalfehler |
Überprüfung nach Löschen des Fehlercodes. Stecker auf festen Sitz prüfen. |
Säule und Gehäuse ersetzen Wenn Phänomen weiterhin besteht |
|
C1112 |
Fehler in Spannungsversorgung des Drehmomentsensors |
Steckverbinder von Drehmomentsensor und ECU-Anschluss überprüfen. |
ECU ersetzen, wenn Phänomen weiterhin besteht |
|
|
ECU |
C1604 |
ECU-Hardwarefehler |
Überprüfung des ECU-Steckverbinders nach Löschen des Fehlercodes. |
ECU ersetzen, wenn Phänomen weiterhin besteht |
|
ECU |
C1705 |
EPS-Modul Störung im Vorladestromkreis |
Überprüfung des ECU-Steckverbinders nach Löschen des Fehlercodes. |
ECU ersetzen, wenn Phänomen weiterhin besteht |
|
MOTOR |
C2400 |
Motorsignalfehler |
Überprüfung des Motor-Steckverbinders nach Löschen des Fehlercodes. |
Motor ersetzen, wenn Phänomen weiterhin besteht |
|
MOTOR |
C2401 |
Störung Motorpositionssensor |
Überprüfung des Motor-Steckverbinders nach Löschen des Fehlercodes. |
Motor ersetzen, wenn Phänomen weiterhin besteht |
|
ECU/Motor |
C2412 |
Motorstromfehler |
Überprüfung des Motor-/ECU-Steckverbinders nach Löschen des Fehlercodes.
|
Erster ECU-Austausch Motor ersetzen, wenn Phänomen weiterhin besteht |
|
Lenkwinkelsensor |
C1259 |
Lenkwinkelsensorfehler |
Lenkwinkelrückstellung nach Löschen des Fehlercodes Stecker auf festen Sitz prüfen. |
Säule und Gehäuse ersetzen Wenn Phänomen weiterhin besteht |
|
BATTERIE |
C1102 |
Batteriespannung niedrig |
Batteriespannungsstatus überprüfen |
Batterieladespannung |
|
Kooperative Steuerung |
C1696 |
SPAS-Signalfehler |
Überprüfung des SPAS |
Fehlercode löschen. |
|
C1697 |
||||
|
Kooperative Steuerung |
C1612 |
TCU-Signalfehler |
Überprüfung des TCU |
Fehlercode löschen. |
|
C1646 |
||||
|
Kooperative Steuerung |
C1628 |
Kombiinstrument-Signalfehler |
Überprüfung des Kombiinstruments |
Fehlercode löschen. |
|
C1656 |
||||
|
Kooperative Steuerung |
C1692 |
VSM-Signalfehler |
Überprüfung des VSM |
Fehlercode löschen. |
|
C1693 |
||||
|
ABS |
C1260 |
Lenkwinkelsignalfehler |
Nach Rückstellung des Lenkwinkels überprüfen Wenn Fehlercode C1259 nicht auftritt, CAN-Leitung prüfen. |
Lenkwinkel rückstellen Fehlercode löschen. |
| Reparaturverfahren bei Geräuschen / Fehlfunktion |
| ③ Überprüfung auf Geräusche / Fehlfunktion |
|
Problem |
Fehlerbeschreibung und Prüfmethode |
Gegenmaßnahme |
||||||
|
Geräusche/Rattern |
1. Geräusch wird in der Nähe der MDPS-Säule/des Gehäuses erzeugt.
|
|
||||||
|
Geräusche/Rattern |
1. Griff und die umgebenden Befestigungsteile überprüfen.
|
Jeweiliges Teil auf Geräusche prüfen
|
||||||
2. Überprüfen, wo die C-MDPS eingebaut ist.
|
Einbau des Windlaufs überprüfen |
|||||||
3. Befestigungsbereich der Kreuzgelenkschraube überprüfen.
|
Mit einer neuen Schraube festziehen, wenn die Kreuzgelenkschraube verschlissen
ist |
|||||||
4. Freispielbereich der Säule überprüfen, während das Lenkrad bei stehendem
Fahrzeug gedreht wird.
|
Platz zwischen den umgebenden Teilen lassen
|
| ④ Vorsichtsmaßnahmen bei der Wartung |
Zu ergreifende Vorsichtsmaßnahmen beim Umgang mit der MDPS (motorbetriebene Servolenkung)
| 1. |
Fehler tritt aufgrund eines internen Schadens auf, weil die neue Teilkomponente fallen gelassen oder Stößen ausgesetzt war. → Die Teilkomponente keinen Stößen aussetzen und beschädigte Teile (aufgrund von Fallenlassen usw.) ersetzen. |
| 2. |
Wenn beim Festziehen der Lenkung zu große Kraft ausgeübt wird, kann der Mittelpunkt des Drehmomentsensors verdreht werden. |
| 3. |
Beim Abziehen/Einstecken des Steckverbinders kann die Verkabelung durch zu hohe externe Kraft beschädigt (verformt) werden. |
| 4. |
Beim Einlagern und Ersetzen der Teilkomponenten auf anormale Temperatur- und Luftfeuchtigkeitsbedingungen achten. |
Überprüfen. SPEZIFIKATION Pos. SPEZIFIKATION Typ Motorbetriebene Servolenkung Lenkgetriebe Typ Zahnstangengetriebe Zahnstangenweg 150 ± 1mm Lenkwinkel (max.
Reparaturverfahren Ausbau 1. Batteriemassekabel abklemmen. 2. Untere Armaturenbrettverkleidung abbauen.
Beschreibung und bedienung Beschreibung Der Fotosensor befindet sich mittig in den Defrosterdüsen. Der Fotosensor beinhaltet eine fotovoltaische Diode, die auf Sonnenlicht reagiert. Die solare Strahlung generiert eine elektromotorische Kraft, die proportional zu der empfangenen Sonneneinstrahlung ist.
Reparaturverfahren PRÜFUNG 1. Messung des Widerstands zwischen den Klemmen 2. Bei Abweichung des gemessenen Widerstandswerts von den Vorgaben ist der Gebläse-Widerstand zu ersetzen. (Nach Entfernen des Widerstands) AUS- UND EINBAU 1.